ポンプキャビテーション現象の基礎知識:発生原理、悪影響(騒音・振動・壊食)

ポンプキャビテーション現象の基礎知識:
発生原理、悪影響(騒音・振動・壊食)
(basic knowledge of cavitation)
スポンサーリンク
アフィリエイト広告を利用しています。
本要約は、ポンプにおけるキャビテーション現象について、その発生原理、ポンプ性能への影響、および具体的な悪影響である騒音・振動・壊食を多角的に解説した3つの論文(エバラ時報No. 245、No. 246、No. 248)の内容をまとめたものです。
ポンプ技術者の方が著されたもので、広い範囲を比較的平易にまとめられていると思います。
1. キャビテーションの発生原理とポンプ性能への影響
キャビテーションとは、液体中で圧力が低下し、その温度における飽和蒸気圧に達することで液体が気化し、気泡が発生する現象です。通常、液体の沸騰は水温上昇によるものですが、キャビテーションは温度変化を伴わず水圧が低下することで急激な気化が起こる点が異なります。
流体管路系において圧力が低下しやすい典型的な箇所は、断面積が小さくなる絞り部や弁(バルブ)です。ベルヌーイの定理により、流速が増加すると静圧が低下するため、これらの箇所でキャビテーションが発生しやすくなります。ポンプの場合でも、水を吸い込む際にポンプ入口で圧力が低下するため、羽根車の負圧面などにおいてキャビテーションが発生します。
キャビテーションの発生は、ポンプの場合揚程低下という悪影響を引き起こします。ポンプの吸込性能を示す指標として、ポンプ揚程が3%低下する「3%揚程低下点:NPSH3」を用いることが規格(JIS B8301)で規定されています。健全なポンプ運転を維持するためには、この点に対し十分なNPSH available(有効吸込ヘッド:NPSHA)を確保することが望ましいです。
図 吸込性能曲線の例 出典:エバラ時報No.245 (2024-10)
定常的な流れにおけるキャビテーションだけでなく、弁の急閉やポンプの急停止(ポンプトリップ)といった非定常現象においても、水撃現象や水柱分離といった形でキャビテーションが発生し、管路系に大きな損傷を与える可能性があります。人体においても、関節のクラッキング音としてキャビテーションが発生する例が挙げられます。
2. キャビテーションによる騒音と振動
キャビテーションは、ポンプの騒音と振動の主な原因の一つです。キャビテーション気泡の膨張・収縮は、液体中に「ばね作用」をもたらし、これが騒音や振動の発生メカニズムとなります。液体の水は非圧縮性(固いばね)とみなされるが、気体である水蒸気を多く含むキャビテーション気泡は非常に膨張収縮しやすく(柔らかいばね)、振動を引き起こします。
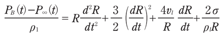
単一の球形気泡の挙動はRayleigh-Plesset(レイリー・プレセット)方程式で記述され、その固有振動数は気泡の半径に反比例します(Minnaertの式)。例えば、直径1mmの気泡であれば、約1kHzの固有振動数を持ちます。
Rayleigh-Plesset(レイリー・プレセット)方程式
Minnaertの式
ポンプ全体におけるキャビテーション体積の変動は、連続の式やキャビテーションコンプライアンス、マスフローゲインファクターといった概念を用いてモデル化されます。これにより、ポンプ内のキャビテーション体積の固有振動数が導き出されます。実際のポンプキャビテーションでは、流量変動が主に10Hz以下の低周波数で問題となることが多いです。この固有振動数は、ポンプ単体だけでなく、配管システム全体の数値にも影響されるため、ポンプ設計者や機場設計者は留意する必要があります。
キャビテーションの成長に伴い、騒音は「パチパチ」「バチバチ」から「バリバリ」といった表現で増大し、最終的には金属的な轟音に近いレベルに達することがあります。騒音の増大と共に、ポンプケーシングに顕著な振動も発生し、これらの騒音や振動は3%揚程低下点付近で極大値を示すとの報告もあります。音響圧は、キャビテーション体積の変動(時間に対する2階微分)に比例して放射されます。
3. キャビテーションによる壊食現象
キャビテーションのもう一つの重大な悪影響は「壊食(エロージョン)」です。壊食は、キャビテーション気泡が崩壊する際に、その近傍にある固体材料が徐々に欠損し、減肉していく現象を指します。沸騰現象とキャビテーションの壊食の違いは、圧力差と流速差に起因すると考えられます。本文献では茶釜の沸騰について、例示されています。茶釜での沸騰では、沸騰で発生した気泡は、発生後ほぼ一定の圧力下で気泡がゆっくり崩壊するため壊食は発生しませんが、ポンプの場合、ポンプ内では急激な圧力変化と高速な流れの中で気泡が崩壊し、壊食に至ります。
キャビテーション気泡が崩壊する際、低圧の気泡が高圧の場にさらされることで急激に収縮します。理想的な球形気泡の崩壊では、気泡の中心でパルス的な高圧が発生し、これが圧力波となって周囲に伝播し、近傍の固体材料に高い応力を与え、材料の変形や破壊の一因となります。この高圧は、内向きの水流が球中心で衝突する際に生じる水撃圧と考えることもできます。また、気泡が崩壊した後に、高圧の外向き流れにより気泡中心部が急激に圧力が低下して、新たなキャビテーションが発生する「リバウンド」と呼ばれる現象も起こり得ます。
さらに、実際には気泡は非対称に崩壊する場合が多く、その典型が「マイクロジェット」の発生です。マイクロジェットは、気泡が固体壁の近傍で崩壊する際に発生しやすく、気泡内の気体が壁に向かって高速で噴出する現象です。この高速なマイクロジェットが固体壁に衝突することも、壊食の主要な要因と考えられます。
単一気泡の崩壊だけでなく、多数の気泡群が繰り返し崩壊することで、固体材料には多大な衝撃荷重が作用し、壊食が進行します。
図 マイクロジェット 出典:機械工学便覧 第6版 α04-12章
材料の壊食耐性を評価するためには、ASTM G32やASTM G134といったキャビテーション壊食試験の標準が確立されています 。ポンプの壊食を低減するためには、優れた耐壊食性材料の使用や肉盛り溶接の適用が有効であり、将来的には数値解析による壊食予測技術の発展が期待されています。著者はエバラの研究テーマとして、キャビテーション壊食面の近似技術について紹介しています。
以上の3つの論文は、ポンプキャビテーション現象について、その発生メカニズムから具体的な悪影響、そしてそれらの対策まで、包括的な基礎知識を提供しています。
参照文献
ポンプキャビテーションの基礎知識[第1回] 能見基彦 エバラ時報No.245 (2014-10)
ポンプキャビテーションの基礎知識[第2回] 能見基彦 エバラ時報No.246 (2015-1)
ポンプキャビテーションの基礎知識[第3回] 能見基彦 エバラ時報No.248 (2015-7)
機械工学便覧 第6版 α05-12章
引用図表
図 吸込性能曲線の例 出典:エバラ時報No.245 (2024-10)
図 マイクロジェット 出典:機械工学便覧 第6版 α04-12章
ORG:2025/07/08



